Estos son los pueblos extremeños que recibirán ayudas para reparar infraestructuras derivadas de las inundaciones
El Gobierno central aprueba más de 2,4 millones de euros en subvenciones para la comunidad con Don Benito como mayor receptor en Badajoz mientras en Cáceres se limitan a Logrosán

El Guadiana en plena crecida / Efe
El Estado ha aprobado un total de 2,43 millones de euros en ayudas destinadas a la reparación de infraestructuras y bienes municipales dañados en Extremadura como consecuencia de inundaciones y otros fenómenos adversos, según la resolución publicada este miércoles en el Boletín Oficial del Estado (BOE).
El reparto de las subvenciones destina, prácticamente, la totalidad de los fondos se ha concentrado en la provincia de Badajoz, que ha sumado 2.426.067 euros, frente a los 4.944 euros consignados en la provincia de Cáceres, correspondientes a una única actuación en el municipio de Logrosán.
En total, han resultado beneficiados 32 ayuntamientos extremeños, además de una mancomunidad y varias actuaciones gestionadas por la Diputación de Badajoz. En cambio, la Diputación de Cáceres solo ha canalizado una ayuda municipal incluida en el anexo de proyectos financiados.

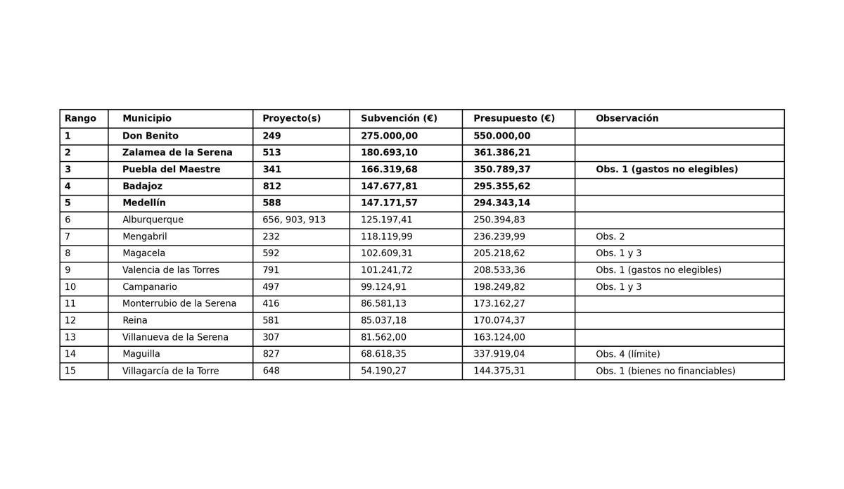
Los 15 municipios que recibirán más ayudas en Extremadura / EP
El municipio que más financiación ha recibido ha sido Don Benito, con una subvención de 275.000 euros para la reparación de infraestructuras municipales. En el extremo opuesto se ha situado Logrosán, con una ayuda de algo menos de 5.000 euros, mientras que Azuaga ha sido el municipio pacense con menor cuantía, al percibir 5.719 euros.
Entre los ayuntamientos con mayores importes asignados figuran también Alburquerque, Villanueva de la Serena, Jerez de los Caballeros, Medellín o Zalamea de la Serena. En el caso de Fuente del Arco, el BOE recoge una actuación aprobada y otra rechazada, por lo que el municipio ha recibido financiación parcial.
Ayudas denegadas
La resolución incluye, asimismo, un anexo con los proyectos desestimados, en el que figuran varios municipios extremeños cuyas solicitudes han sido rechazadas total o parcialmente. Entre ellos se encuentran Orellana la Vieja, Zafra y Medina de las Torres, cuyos expedientes no han superado la evaluación técnica o han sido retirados por los propios ayuntamientos.
Según el BOE, los principales motivos de exclusión han sido que las actuaciones propuestas no se consideraban financiables, que se trataba de obras de mejora y no de reparación, la duplicidad de solicitudes, la falta de documentación o que el ayuntamiento solicitante no era titular del bien afectado.
En algunos casos, como Don Benito o Fuente del Arco, determinados proyectos han quedado fuera del reparto, aunque otras iniciativas sí han recibido financiación, por lo que estos municipios no han quedado excluidos del conjunto de ayudas concedidas en Extremadura.
- El megaproyecto extremeño de 2.800 millones que situará a la región en la carrera europea de la IA estará en Mérida
- Los pasajeros del Alvia Madrid-Badajoz, a la espera de ser evacuados tras chocar contra un vehículo
- Extremadura volvería a las urnas en torno al 28 de junio si la investidura de Guardiola fracasa
- La vivienda prefabricada no es la casa del futuro, ya es la del presente
- El SES actualiza las tablas salariales de 2026: esto cobran médicos, enfermeras y celadores en Extremadura
- Fallece una mujer en el incendio de una vivienda en Olivenza
- Eugenia Silva se abre en canal en su casa de campo de Extremadura: 'Aquí murió mi padre, el vínculo es muy profundo
- Los 15 restaurantes de Extremadura recomendados por la Guía Michelin 2026